F1 Bande Annonce Vf 2025 Brad Pitt, Nouvelle
411.7 K
2:48
F1 Bande Annonce Vf 2025 Nouvelle, Brad Pitt
494.7 K
2:45
Baf Meaning
40.7 K
1:19
Ba Director Ba F Code Films Ku Abs Tv
3 K
21:28
Fugees - Boof Baf Official Hd Video
2.6 Mn
4:33
Ba Motion Logo
298
2:00
Lets Have Fun Bubble Bath Ep53 Bebefinn Bath Song...
26.8 Mn
3:15
311.4 K
0:24
Good Morning Friends Bebefinn Healthy Habit...
40.9 Mn
48:25
44 Kedi Sezon 2 - Kış Baf-Olimpiyatları Clip
116.1 K
3:24
Jetsystem Helivolcan Eurocopter Ec130 B4 F-Hajj &...
9.8 K
4:59
Baf - House Mini Set Mix 03
117.6 K
18:48
Rtk Babii K X Rtk Ba - Fck Em Official Music...
3.1 K
2:38
B.a.f Jadian Drama Sakura School Simulator
3.1 Mn
21:22
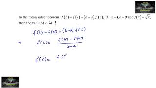
In The Mean Value Theorem Fb - Fab-Afc, If A 4,...
405
1:31
Guneyde Kalan Kibris - Baf
2.6 K
44:14
Amel Jkf Vs Rara Baf
203.5 K
0:15
Collab Sama B.a.f Bareng Ayang Sakura School...
101.8 K
0:13
Baf - Club House Mini Set Mix
17.1 K
26:03
Décollage Ecureuil As-350 Ba F-Mjcx Gendarmerie...
943
1:40
Baf----- Mirchannel
34.3 K
0:17
Man Ki Por Nga Shait Lap Ba F Don Jingmut Whastap...
1.5 K
0:20
Advertising Design Ba - F My Life
526
0:47
357.2 K
0:36
Spoiler B.a.f
2.9 Mn
0:11
Baf Shaheen College Kurmitola
50.4 K
0:09
Ti Mo Ba Fowokan Feat. Evelyn Law
937
2:02
In Our Clroom At Baf Shaheen College Dhaka
64.5 K
Benefits Of Baf Course Hindi Quick Support
142.3 K
8:59
B.a.f 2 Battle Dance Drama Sakura School Simulator
4 Mn
21:00
Baf Course After 12Th Is It Worth It? Pros & Cons...
31.3 K
1:30
Gebby Cegil Baf
33.4 K
0:35
Masih & Arash Ap - Amoo Zanjir Baf مسیح و آرش ای...
2.1 Mn
3:27
Ti Mo Ba Fowokan
916
Upload Ulang B.a.f Bebby, Altarel & Friends...
423.7 K
26:12
Nah Ini Dia Couple Baru Di B.a.f Sakura School...
10.3 K
0:14
B.a.f Bebby, Altarel & Friends Yeayy Comeback...
1.2 Mn
23:20